注意:因为学习平台题目是随机,选择题选项也是随机,一定注意答案对应的选项,同学们在本页按“Ctrl+F”快捷搜索题目中“关键字”就可以快速定位题目,还是不懂的话可以看这个:快速答题技巧
一、2026年春江苏开放大学计算机科学数学作业一填空题答案


二、2026年春江苏开放大学计算机科学数学作业一单选题答案

A、0,1,1
B、1,1,2
C、-1,1,2
D、-1,1,1
正确答案:D
2、矩阵乘法不满足交换律和消去律.
A、×
B、√
正确答案:B
3、特征值为零的矩阵未必是零矩阵.
A、√
B、×
正确答案:A
4、已知四阶行列式D,其第三列元素分别为1、3、-2、2,它们对应的余子式分别是3、-2、1、1,则行列式D=()
A、-5
B、-3
C、5
D、3
正确答案:C

正确答案:C
6、一个特征向量只能属于一个特征值.
A、√
B、×
正确答案:A
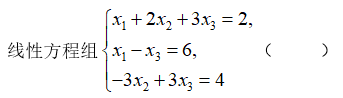
7、

A、有无穷多解
B、无解
C、有唯一解
D、只有零解
正确答案:C
8、

A、√
B、×
正确答案:B
9、

A、0
B、1
C、-1
D、2
未经授权,禁止转载,发布者:形考达人
,出处:https://www.xingkaowang.com/32211.html
免责声明:本站不对内容的完整性、权威性及其观点立场正确性做任何保证或承诺!付费为资源整合费用,前请自行鉴别。
免费答案:形考作业所有题目均出自课程讲义中,可自行学习寻找题目答案,本站内容可作为临时参考工具,但不应完全依赖,建议仅作为辅助核对答案的工具,而非直接使用!