注意:因为学习平台题目是随机,选择题选项也是随机,一定注意答案对应的选项,同学们在本页按“Ctrl+F”快捷搜索题目中“关键字”就可以快速定位题目,还是不懂的话可以看这个:快速答题技巧
一、2026年春江苏开放大学计算机科学数学作业二填空题答案


二、2026年春江苏开放大学计算机科学数学作业二单选题答案
1、下列极限中值为1的是()

正确答案:A
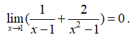
2、

A、×
B、√
正确答案:B
3、所有初等函数在其定义域内都是连续的.
A、√
B、×
正确答案:A
4、

C、f(1)
正确答案:C
5、

A、√
B、×
正确答案:B
6、

A、×
B、√
正确答案:A
7、

A、必要条件
B、充分条件
C、无关条件
D、充要条件
正确答案:A
8、

A、√
B、×
正确答案:B
未经授权,禁止转载,发布者:形考达人
,出处:https://www.xingkaowang.com/32213.html
免责声明:本站不对内容的完整性、权威性及其观点立场正确性做任何保证或承诺!付费为资源整合费用,前请自行鉴别。
免费答案:形考作业所有题目均出自课程讲义中,可自行学习寻找题目答案,本站内容可作为临时参考工具,但不应完全依赖,建议仅作为辅助核对答案的工具,而非直接使用!